https://www.acmicpc.net/problem/2056
1. 문제 이해
첫째줄에 수행 작업 N이 주어진다.
2~N+1줄까지 '각 작업의 시간, 선행할 작업들 개수, 선행 관계에 있는 작업들의 번호'가 주어지면,
모든 작업을 완료하기 위해 필요한 최소시간을 구하면 된다.
2. 조건
- k번 작업에 대해, 선행 관계에 있는 작업 번호는 1 ~ (k-1)이하임.
- 선행 관계 없는 작업도 존재함(1번 작업은 항상) = 선행작업 0
3. 풀이
선행 작업이기 때문에 사이클이 존재하지 않고, 최소시간을 구하는 문제이기 때문에 위상 정렬로 코드를 짰다.
입력이 다음과 같이 주어졌다.
7
5 0
1 1 1
3 1 2
6 1 1
1 2 2 4
8 2 2 4
4 3 3 5 6
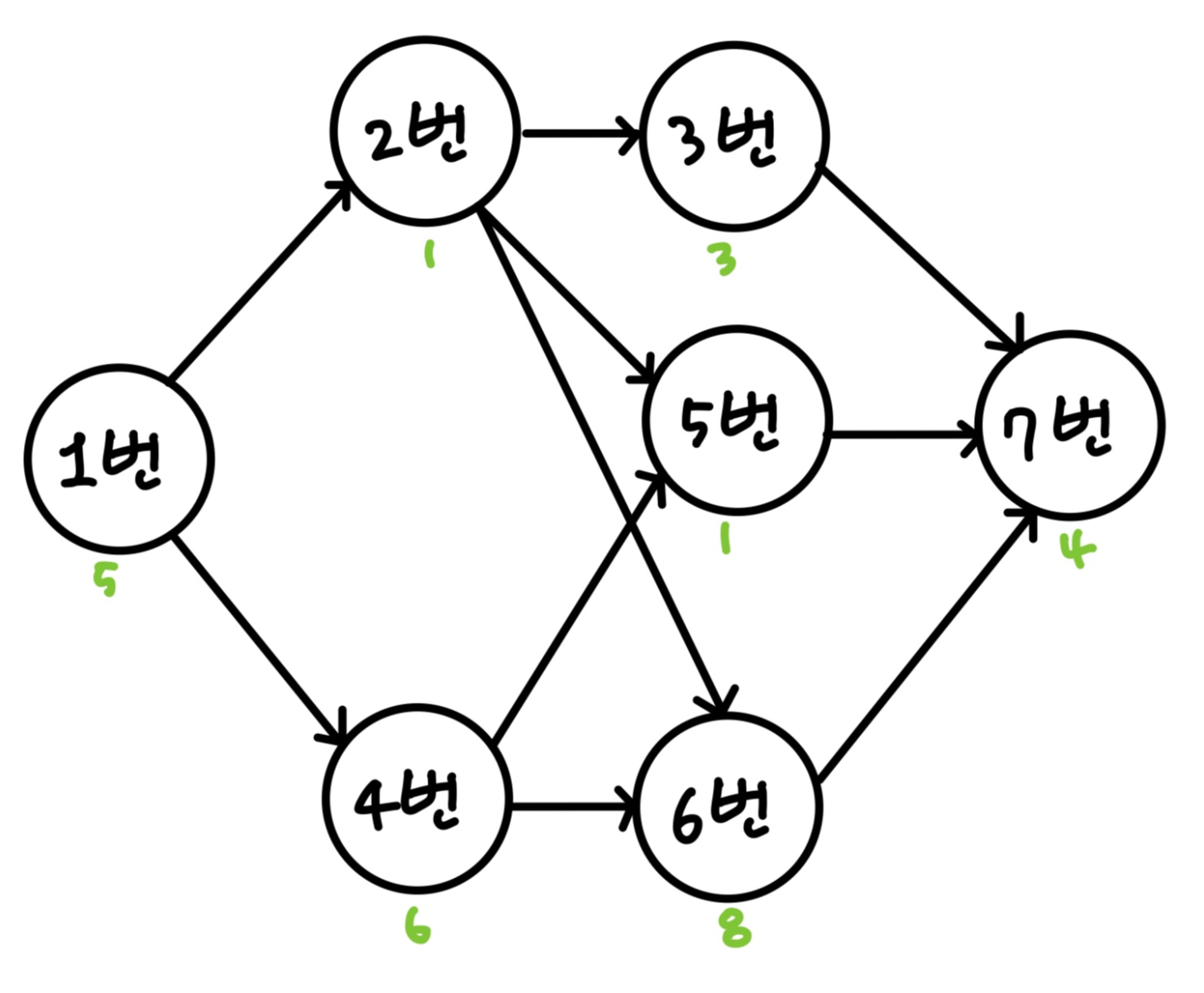
이를 이해하고자 다음과 같이 정리 해보았다.
1번 작업 : 5시간, 선행 0
2번 작업 : 1시간, 선행 1 - 1번
3번 작업 : 3시간, 선행 1 - 2번
4번 작업 : 6시간, 선행 1 - 1번
5번 작업 : 1시간, 선행 2 - 2, 4번
6번 작업 : 8시간, 선행 2 - 2, 4번
7번 작업 : 4시간, 선행 3 - 3, 5, 6번

#include<iostream>
#include<queue>
#include<vector>
using namespace std;
vector<int> edge[10003];
int in_degree[100003];
int t[100003];
int main() {
int n, k, t_input, oper, result = 0; // t_input: 시간
priority_queue<pair<int, int>> pq;
cin >> n;
for (int i = 1; i <= n; i++) {
cin >> t_input >> k;
t[i] = t_input;
if (k == 0) {
pq.push({-t_input, i});
} else {
while (k--) {
cin >> oper;
edge[oper].push_back(i);
in_degree[i]++;
}
}
}
while (!pq.empty()) {
int op_time = -pq.top().first;
int num = pq.top().second;
pq.pop();
result = max(op_time, result);
for (int next: edge[num]) {
in_degree[next]--;
if (!in_degree[next]) {
int op = op_time + t[next];
pq.push({-op, next});
}
}
}
cout << result;
return 0;
}
4. 구현/디버깅 => 반례찾음
7
5 0
3 0
6 0
1 0
8 0
4 0
2 0
8(정답)
=> max 값이 나오지 않아 추가해줌
'⚖️Algorithm' 카테고리의 다른 글
| [백준 5021] 왕위 계승 (0) | 2022.07.18 |
|---|---|
| [백준 18352] 특정 거리의 도시 찾기 (0) | 2022.07.18 |
| [백준 11057] 오르막 수 (0) | 2022.07.16 |
| [백준 16936] 나3곱2 (0) | 2022.07.12 |
| [백준 14888] 연산자 끼워넣기 (0) | 2022.07.11 |