1. 크루스칼 알고리즘
정렬돼있어야 함. Parent 자신으로 초기화.
1-1. 가중치 없는 크루스칼 알고리즘
#include <iostream>
using namespace std;
int parent[10001];
int Find(int a) {
if (a == parent[a])
return a;
return parent[a] = Find(parent[a]);
}
void Union(int a, int b) {
a = parent[a];
b = parent[b];
if (a < b) {
parent[a] = b;
}
else
parent[b]= a;
}
int main() {
ios_base::sync_with_stdio(false);
cin.tie(0);
cout.tie(0);
int v, e, a, b;
cin >> v >> e;
for (int i = 1; i <= v; i++) {
parent[i] = i;
}
while (e--) {
cin >> a >> b;
if(Find(a)== Find(b))
cout <<"사이클";
else Union(a, b);
}
return 0;
}
1-2. 가중치 있는 크루스칼 알고리즘
#include <iostream>
#include <vector>
#include <algorithm>
using namespace std;
int parent[10001];
struct Edge {
int v1, v2;
int cost;
};
bool cmp(Edge &e1, Edge &e2) {
if (e1.cost == e2.cost) {
if (e1.v1 == e2.v1) {
return e1.v2 < e2.v2;
}
return e1.v1 < e2.v1;
}
return e1.cost < e2.cost;
}
int Find(int a) {
if(a == parent[a])
return a;
return parent[a] = Find(parent[a]);
}
bool Union(int a, int b) {
a = parent[a];
b = parent[b];
if (a != b) {
parent[a] = b;
return true;
}
return false;
}
int main() {
ios_base::sync_with_stdio(false);
cin.tie(0);
cout.tie(0);
vector<Edge> edge;
int v, e, a, b, c;
int result = 0, cnt = 0;
cin >> v >> e;
for (int i = 1; i <= v; i++) {
parent[i] = i;
}
while (e--) {
cin >> a >> b >> c;
edge.push_back({a, b, c});
}
sort(edge.begin(), edge.end(), cmp);
for (auto &ed: edge) {
int v1 = ed.v1;
int v2 = ed.v2;
int cost = ed.cost;
if (Union(v1, v2)) {
result += cost;
cnt += 1;
if (cnt == v - 1) {
break;
}
}
}
cout << result;
return 0;
}
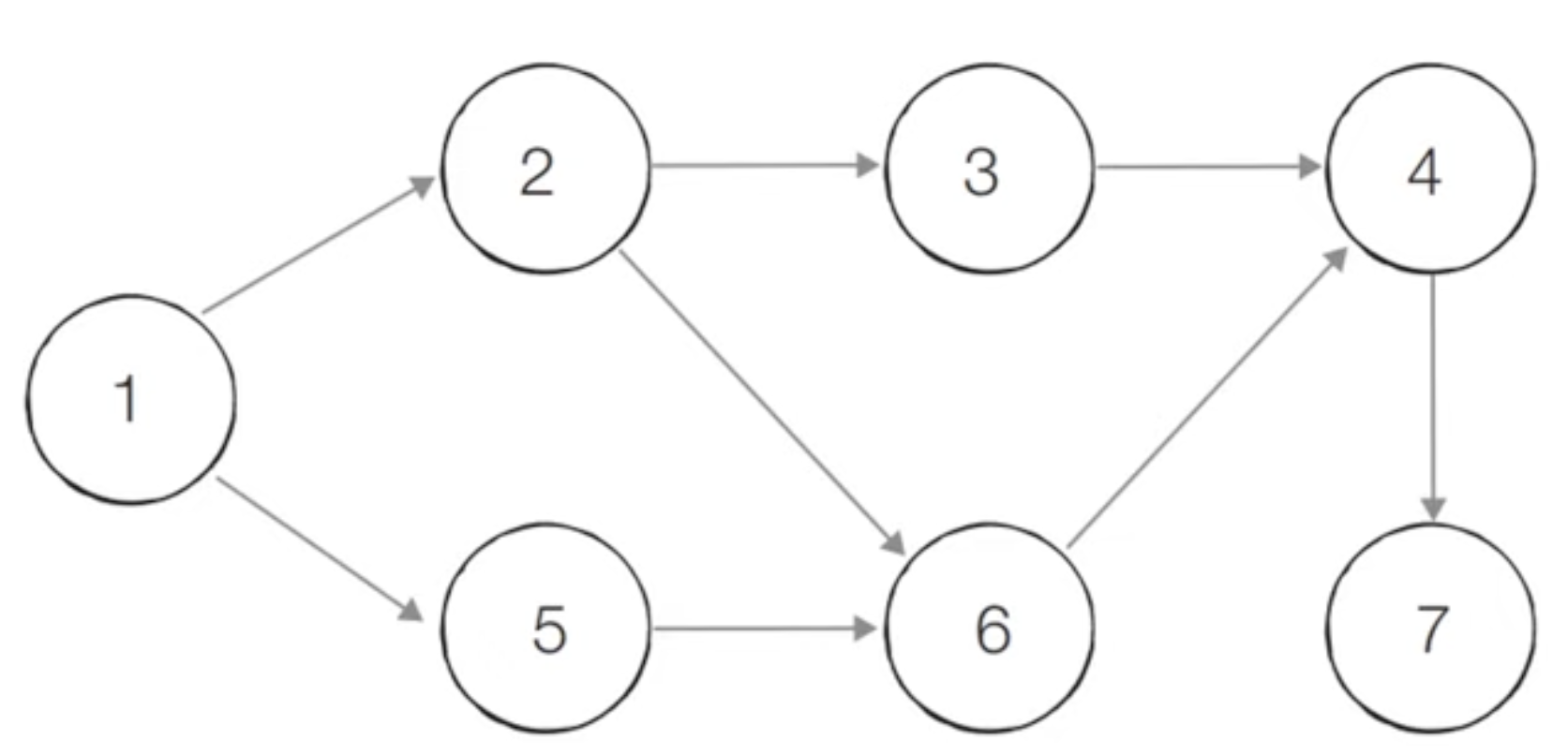
2. 위상 정렬 알고리즘

순환하지 않는 방향 그래프(DAG) 문제 - queue 사용
1. 진입차수가 0인 모든 노드를 큐에 넣음
2. 큐가 빌 때가지 반복
1) 큐에서 원소 꺼내 해당 노드에서 나가는 간선을 그래프에서 제거
2) 새롭게 진입차수가 0이 된 노드를 큐에 넣는다
#include <iostream>
#include <vector>
#include <queue>
using namespace std;
int v, e;
int indegree[100001];
vector<int> graph[100001];
void topologySort() {
vector<int> result;
queue<int> q;
for (int i = 1; i <= v; i++) {
if (indegree[i] == 0)
q.push(i);
}
while (!q.empty()) {
int now = q.front();
q.pop();
result.push_back(now);
for (auto &i: graph[now]) {
indegree[i]--;
if (indegree[i] == 0)
q.push(i);
}
}
for (int i: result) {
cout << i << ' ';
}
}
int main() {
cin >> v >> e;
for (int i = 0; i < e; i++) {
int a, b;
cin >> a >> b;
graph[a].push_back(b);
indegree[b]++;
}
topologySort();
}
//7 8
//1 2
//1 5
//2 3
//2 6
//3 4
//4 7
//5 6
//6 4
//결과
//1 2 5 3 6 4 7
3번 문제. 도시분할계획
#include <iostream>
#include <vector>
#include <algorithm>
using namespace std;
int parent[10001];
struct Edge {
int v1, v2;
int cost;
};
bool cmp(Edge &e1, Edge &e2) {
if (e1.cost == e2.cost) {
if (e1.v1 == e2.v1) {
return e1.v2 < e2.v2;
}
return e1.v1 < e2.v1;
}
return e1.cost < e2.cost;
}
int Find(int a) {
if(a == parent[a])
return a;
return parent[a] = Find(parent[a]);
}
bool Union(int a, int b) {
a = parent[a];
b = parent[b];
if (a != b) {
parent[a] = b;
return true;
}
return false;
}
int main() {
ios_base::sync_with_stdio(false);
cin.tie(0);
cout.tie(0);
vector<Edge> edge;
int v, e, a, b, c, last;
int result = 0, cnt = 0;
cin >> v >> e;
for (int i = 1; i <= v; i++) {
parent[i] = i;
}
while (e--) {
cin >> a >> b >> c;
edge.push_back({a, b, c});
}
sort(edge.begin(), edge.end(), cmp);
for (auto &ed: edge) {
int v1 = ed.v1;
int v2 = ed.v2;
int cost = ed.cost;
if (Union(v1, v2)) {
result += cost;
cnt += 1;
last = cost; //정렬해놔서 맨 끝에 제거하면 제일 큰 값
if (cnt == v - 1) {
break;
}
}
}
cout << result - last;
return 0;
}
4번 문제. 커리큘럼
#include <iostream>
#include <queue>
#include <vector>
using namespace std;
#define MAX 501
int in_degree[MAX];
int times[MAX];
vector<int> graph[MAX];
int n, x;
void topologySort() {
vector<int> result(MAX);
queue<int> q;
for (int i = 1; i <= n; i++) {
result[i] = times[i];
if (in_degree[i] == 0)
q.push(i);
}
while (!q.empty()) {
int now = q.front();
q.pop();
for (auto &i: graph[now]) {
result[i] = max(result[i], result[now] + times[i]);
in_degree[i]--;
if (in_degree[i] == 0)
q.push(i);
}
}
for (int i = 1; i <= n; i++)
cout << result[i] << "\n";
}
int main() {
cin >> n;
for (int i = 1; i <= n; i++) {
cin >> x;
times[i] = x;
while (true) {
cin >> x;
if (x == -1)
break;
in_degree[i]++;
graph[x].push_back(i);
}
}
topologySort();
return 0;
}
//5
//10 -1
//10 1 -1
//4 1 -1
//4 3 1 -1
//3 3 -1
//결과값
//10
//20
//14
//18
//17'⚖️Algorithm > 📝 이취코' 카테고리의 다른 글
| [이취코] 유형별 알고리즘 - 구현(C++) (0) | 2022.11.03 |
|---|---|
| [이취코] 유형별 기출 - 그리디 문제(c++) (0) | 2022.11.02 |
| [이취코] 9. 최단경로 - C++ (0) | 2022.10.22 |
| [이취코] 8. DP - C++ (0) | 2022.10.21 |
| [이취코] 5. DFS/BFS - C++ (0) | 2022.10.20 |